0000-00
O artigo é proveniente de "Materiais de Isolamento"

O filme de capacitor de polipropileno biaxialmente orientado (BOPP) serve como o material dielétrico central em capacitores de filme metalizado, onde as propriedades da superfície determinam diretamente a confiabilidade e a vida útil dos capacitores. Como uma etapa crítica de pós-processamento para filmes de capacitor BOPP, o tratamento corona melhora significativamente o desempenho superficial, mas seus efeitos abrangentes na estrutura do filme e nas propriedades elétricas ainda não são claros. Em seu estudo "O Impacto do Tratamento Corona na Estrutura e Desempenho de Filmes de Capacitor de Polipropileno Biaxialmente Orientado", publicado na 10ª edição de 2025 da *Materiais de Isolamento*, Wang Jinqing et al. da Quanzhou Jiadeli Electronic Materials Co., Ltd. realizaram experimentos sistemáticos para elucidar os mecanismos pelos quais a intensidade do tratamento corona afeta a estrutura física, estrutura química, energia superficial e propriedades elétricas dos filmes de capacitor BOPP.
Contexto e Objetivos da Pesquisa
Os filmes de capacitor BOPP são amplamente utilizados em veículos de energia nova e redes inteligentes devido à sua alta resistência elétrica (>500 V/μm) e excelentes propriedades de autocura. No entanto, as cadeias moleculares não polares do polipropileno resultam em baixa energia superficial e adesão pobre de revestimentos metálicos. O tratamento corona, que introduz grupos polares na superfície do filme através de bombardeamento de plasma, é uma técnica comum para aumentar a energia superficial. Este estudo analisa sistematicamente os efeitos da intensidade do tratamento corona (0 W, 15 W, 30 W min/m²) na microestrutura e propriedades macroscópicas dos filmes de capacitor BOPP, fornecendo uma base para a otimização de processos de filmes de capacitor de alto desempenho.

Figura 1 Diagrama esquemático do processo de tratamento corona do filme
Desenho Experimental e Métodos
Este estudo investiga a preparação de filmes ultrafinos BOPP de 2,4 μm de espessura em linhas de produção biaxialmente orientadas de grau industrial, com parâmetros de processo de estiramento fixos e apenas a intensidade corona ajustada:
Agrupamento de amostras: 0 W (sem corona), 15 W, 30 W de tratamento corona.
Representação:
▪Estrutura cristalina:Calorimetria diferencial de varredura (DSC) foi usada para analisar a curva de fusão e a cristalinidade.
▪Morfologia superficial:A rugosidade superficial (Ra, Rz, Sz) foi medida por perfilômetro óptico 3D.
▪Estrutura química: Espectroscopia de infravermelho com transformada de Fourier (FTIR) foi usada para detectar grupos polares.
▪Teste de desempenho: tensão de molhamento superficial, propriedades mecânicas, espectro dielétrico, resistência elétrica DC (ajuste de distribuição Weibull).

Máquina de Formação de Suporte Único


Este equipamento é usado para chanfrar as barras de suporte de transformadores. Pode processar formas combinadas em T, cauda de andorinha, cauda de pomba, retangular e outras para formar barras de suporte.
Efeito do Tratamento Corona na Estrutura do Filme
1. Estrutura física:Alteração da morfologia superficial, estrutura cristalina estável
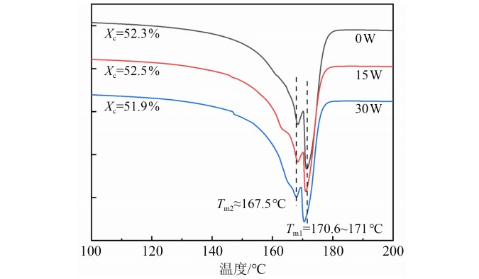
(1) Consistência da estrutura cristalina:Os resultados do DSC mostram que a cristalinidade dos três filmes é de cerca de 52%, e a posição do pico de fusão (Tm1≈170.6 C, Tm2≈167.5 C) não apresenta mudança significativa, indicando que o tratamento corona não altera a estrutura cristalina dos filmes.
(2) Redução da rugosidade superficial: O tratamento corona induz bombardeamento físico na superfície de recepção corona do filme (superfície CR), resultando em uma diminuição na altura da microestrutura superficial. Por exemplo, a altura de dez pontos (Sz) do filme tratado com corona de 30 W diminuiu de 860,8 nm a 0 W para 709,6 nm (uma redução de 17,6%), enquanto a altura média aritmética (Rz) diminuiu 11,4%. Em contraste, a rugosidade da superfície do ar (superfície AK) não apresentou mudança significativa, destacando o efeito localizado do tratamento corona.

Figura 2 Curvas de fusão DSC de filmes com diferentes intensidades corona
2. Estrutura química: Introdução de grupos polares, resultando em aumento da energia superficial
Os espectros FTIR revelaram que o tratamento corona gerou múltiplas ligações polares na superfície do filme.
(1) Picos característicos: Um pico de vibração de estiramento da ligação C-O aparece em 1000~1300 cm⁻¹, um pico de carbonila (C=O) em 1600~1800 cm⁻¹, um pico de hidroxila (-OH) em 3200~3600 cm⁻¹ e um pequeno pico de grupo epóxi em 940 cm⁻¹.
(2) Correlação de intensidade: O aumento da intensidade da descarga corona leva ao aumento da área do pico polar, o que indica que a maior intensidade corona pode introduzir mais grupos polares com alta energia de ligação, melhorando fundamentalmente a atividade química da superfície do filme.

Figura 3 Espectros FTIR de filmes com diferentes intensidades corona
Efeito do Tratamento Corona nas Propriedades do Filme
1. Tensão de Molhamento Superficial e Desempenho de Processo
(1) Melhoria significativa da tensão de molhamento:Através de testes de gota, as tensões de molhamento dos filmes de 0 W, 15 W e 30 W foram <30 mN/m, <36 mN/m e <42 mN/m, respectivamente. O tratamento corona facilitou a dispersão da gota, demonstrando um aumento na energia superficial.
(2) Melhoria da eficiência de enrolamento: Filmes não tratados com corona apresentam baixa energia superficial, levando a fácil deslizamento ou até danos durante o enrolamento. Em contraste, filmes tratados com corona demonstram adesão aprimorada, resultando em enrolamento mais apertado e garantindo segurança na produção.

Figura 4 Teste comparativo de tensão de molhamento superficial para filmes com diferentes intensidades corona
(3) Propriedades mecânicas estáveis:O tratamento corona não tem efeito óbvio na resistência à tração, alongamento e módulo do filme, o que indica que a modificação é limitada à camada superficial.

Figura 5 Propriedades mecânicas de filmes com diferentes intensidades corona
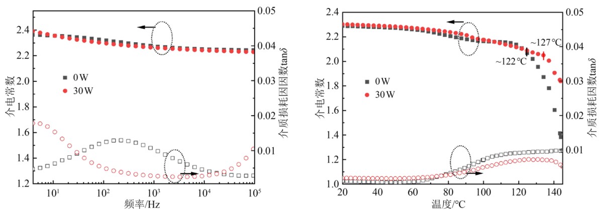
2.Propriedades dielétricas: Decaimento retardado em alta temperatura
A constante dielétrica do filme corona de 30 W é estável em 2,2~2,4 à temperatura ambiente. A constante dielétrica do filme corona de 30 W é atenuada mais lentamente a 120℃ e acima, e o pico de perda dielétrica muda com atraso, o que indica que os grupos polares melhoram a estabilidade dielétrica do filme corona de 30 W em alta temperatura.

Figura 6 (a) Espectros dielétricos dependentes de frequência e (b) espectros dielétricos dependentes de temperatura de filmes não tratados com corona e tratados com corona de 30 W à temperatura ambiente
(1) Variação mínima na resistência elétrica à temperatura ambiente: O parâmetro de distribuição Weibull α (resistência elétrica característica) dos três filmes flutua dentro de ±5 V/μm.
(2) Melhoria fraca do desempenho em alta temperatura: A 100℃, a resistência elétrica do filme tratado com corona de 30 W é aproximadamente 17 V/μm maior que a do filme não tratado, atribuída às armadilhas de nível profundo introduzidas por grupos polares para captura de carga.
(3) Diminuição da estabilidade: O tratamento corona reduziu o parâmetro Weibull β (dispersão) de 7,96 (0 W) para 4,43 (30 W), indicando uma distribuição de resistência elétrica mais dispersa. A análise sugere que um pequeno número de armadilhas fortes leva a uma distribuição desigual do campo elétrico, induzindo distorção de campo.

Figura 7 Ajuste de distribuição Weibull da resistência elétrica: (a) à temperatura ambiente, (b) a 100°C
Conclusão da Pesquisa e Significado de Engenharia
(1) Efeitos estruturais: O tratamento corona não altera a estrutura cristalina, mas reduz a altura física da superfície corona; modifica significativamente a estrutura química, introduzindo ligações polares como C-O e C=O.
(2) Equilíbrio de desempenho:
▪Vantagens:Melhora a tensão de molhamento (garantindo adesão de metalização e segurança no enrolamento) e retarda o decaimento dielétrico em alta temperatura.
▪Risco: A dispersão da resistência elétrica aumenta, o que afeta a estabilidade a longo prazo.
(3) Recomendações de processo: A intensidade corona deve ser otimizada para equilibrar a melhoria da energia superficial com a estabilidade elétrica, evitando tratamento excessivo.
Este estudo fornece suporte crítico de dados para melhorar o desempenho de filmes de capacitor BOPP, abrindo caminho para futuras explorações de efeitos sinérgicos entre o tratamento corona e outras técnicas de modificação.
A Gao Mi Hong Xiang Electromechanical Technology Co., Ltd. é uma empresa privada especializada em serviços globais para clientes. A empresa oferece três linhas principais de produtos: fabricação de montagem de transformadores de potência, papelão isolante elétrico, madeira laminada isolante e processamento de componentes isolantes, juntamente com serviços de moldagem EVA. Também suporta a fabricação de máquinas especializadas com IA. Como provedor abrangente, integra design de P&D, produção, vendas, instalação, treinamento e serviços pós-venda. Seus produtos são amplamente vendidos no mercado interno e exportados para o Sudeste Asiático, América do Sul, Índia, Paquistão, Rússia e outras regiões.

NAVEGAÇÃO
MENSAGEM
Request A Quote?