0000-00
Selecionado de "Materiais Isolantes"

Contexto de Pesquisa e Inovações
O rápido desenvolvimento da indústria de veículos elétricos impôs requisitos mais elevados para materiais isolantes em motores de tração, exigindo desempenho estável em condições de alta temperatura e alta carga. O poliimida (PI), reconhecido como o material de tinta isolante mais resistente a altas temperaturas, é amplamente utilizado devido às suas excelentes propriedades. No entanto, a solução precursora de ácido poliamídico em tintas isolantes de PI tradicionais ainda apresenta alta viscosidade em baixo teor sólido, dificultando o revestimento uniforme em múltiplas camadas. Nossa equipe propôs inovadoramente uma estratégia de intermediário "latente": preparar um agente de cura terminal de sal carboxílico amina através da reação de neutralização do ácido butírico e aminas aromáticas, que é então introduzido no oligômero PMDA-ODA terminado em anidrido. Durante a cura em alta temperatura, o intermediário se decompõe para liberar grupos amina, que continuam a reagir para formar PI de alto peso molecular, equilibrando assim o processamento de baixa viscosidade com os requisitos de película de tinta de alto desempenho.

Figura 1 Diagrama esquemático da rota de preparação de tinta isolante de PI
Metodologia Principal: Design Molecular e Processo de Preparação
Ajustando as proporções dos monômeros (ODA, APAB, BA, PMDA), uma série de revestimentos de PI (por exemplo, PI-P-0 a PI-P-4) foram sintetizados. A incorporação de um intermediário "latente" reduziu significativamente a viscosidade da solução de tinta—quando o conteúdo de BA foi de 5%, a viscosidade diminuiu de 1712 mPa·s para 835 mPa·s (a 20°C), melhorando assim a eficiência do revestimento.
O intermediário foi decomposto a 180~200°C e o PI foi formado a 300°C. A estabilidade térmica do PI foi semelhante à do PI convencional.

Figura 2 Relação entre a Viscosidade Aparente da Tinta Isolante de PI e o Conteúdo de BA

As tesouras mecânicas Hongxiang são equipamentos essenciais para melhorar a eficiência e a qualidade do processamento de materiais elétricos. Elas permitem corte preciso e eficiente de materiais para atender aos requisitos da indústria elétrica quanto à precisão dimensional e desempenho de segurança. As bordas de corte são lisas e sem rebarbas, garantindo as propriedades isolantes dos equipamentos elétricos. O corte em lote é concluído rapidamente, melhorando significativamente a eficiência de produção.
Desempenho Inovador: Otimização Abrangente de Propriedades Térmicas, Mecânicas e Elétricas
1.Melhoria significativa na resistência ao calor
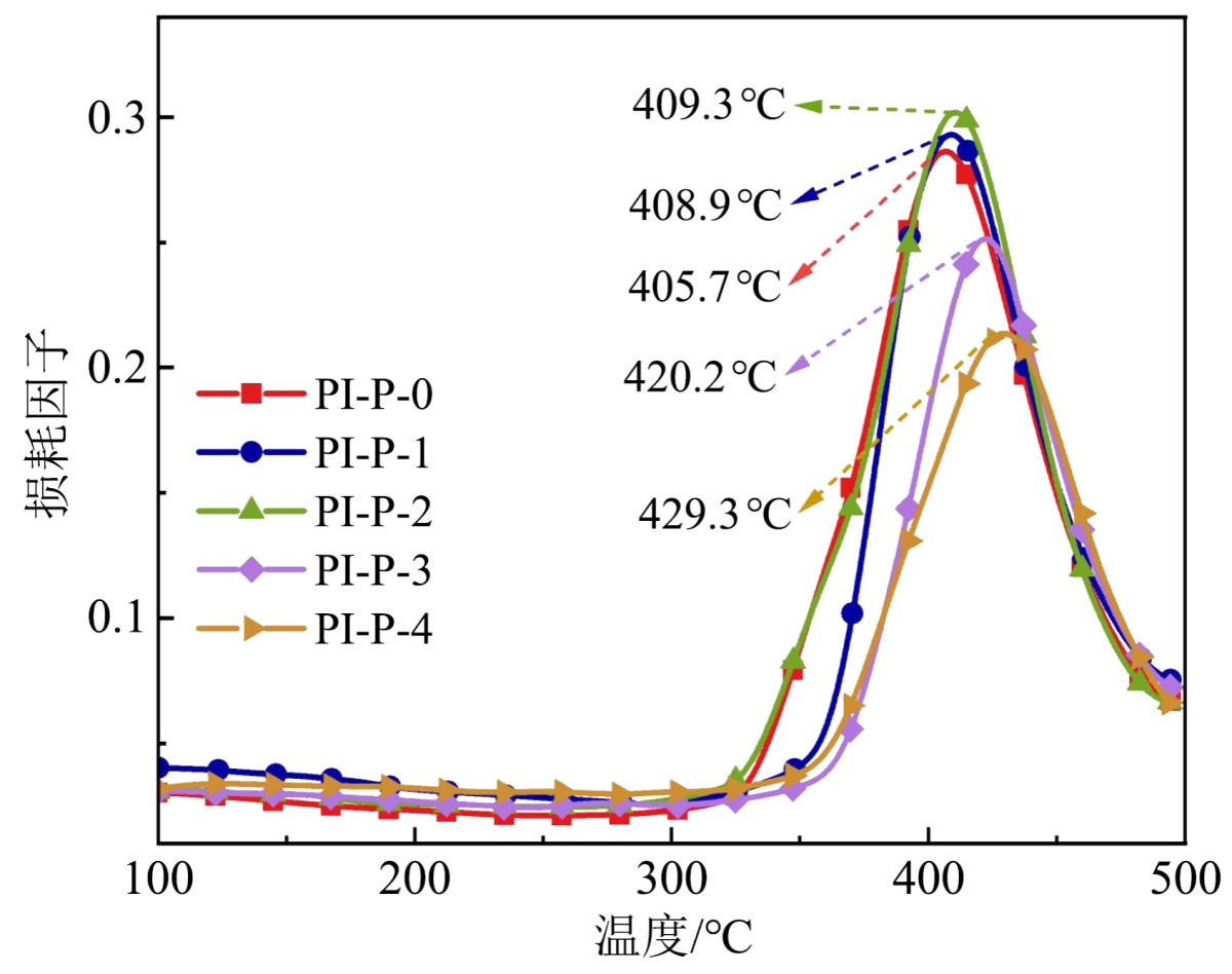
Ao incorporar o monômero rígido APAB e aumentar a temperatura de tratamento térmico, a temperatura de transição vítrea (Tg) do filme excedeu 420°C. A análise mecânica diferencial (DMA) revelou que, com 40% de conteúdo de APAB, a Tg atingiu 429,3°C. Após tratamento térmico a 450°C, a Tg do PI-P-1 aumentou ainda mais para 430,3°C, representando uma melhoria de 5,23% em comparação com o tratamento a 350°C. A análise XPS indicou que altas temperaturas promoveram a reticulação das cadeias moleculares, melhorando assim a estabilidade térmica.

(a) Ciclização a 350°C

(b) Ciclização a 450°C
Figura 3 Curvas DMA de filme de PI resistente a altas temperaturas preparado em diferentes temperaturas
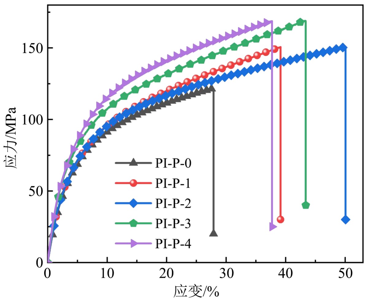
2.Excelentes propriedades mecânicas:
A resistência à tração do filme varia de 147,3 a 168,5 MPa, com um módulo elástico de 2,5 a 3,1 GPa. A introdução do APAB aumenta a rigidez da cadeia molecular e promove o empacotamento compacto; no entanto, APAB excessivo (>30%) reduz o alongamento na ruptura. O PI-P-1 mantém alta resistência enquanto exibe um alongamento na ruptura de aproximadamente 50%, equilibrando tenacidade e rigidez.

(a) Resistência à tração e módulo elástico

(b) Curva tensão-deformação
Figura 4 Resultados de teste de propriedades mecânicas do revestimento de PI resistente a altas temperaturas
3.As propriedades elétricas demonstram desempenho estável e confiável:
Em temperatura ambiente, a constante dielétrica é inferior a 3,48 (1 kHz), com um fator de perda dielétrica inferior a 0,019. Durante os testes de variação de temperatura, o filme PI-P-1 exibe a melhor estabilidade dielétrica térmica a 450°C, com fenômenos de relaxação secundária suprimidos. A resistência dielétrica varia de 304,3 a 356,5 kV/mm, com o PI-P-2 alcançando o valor mais alto (356,5 kV/mm), atribuído ao aumento da densidade de empacotamento das cadeias moleculares.

(a) constante dielétrica

(b) Fator de perda dielétrica

(c) Curva dielétrica dependente da temperatura

(d) Resistência dielétrica
Figura 5 Resultados de teste de desempenho elétrico do revestimento de PI resistente a altas temperaturas
Simulação molecular revela o mecanismo
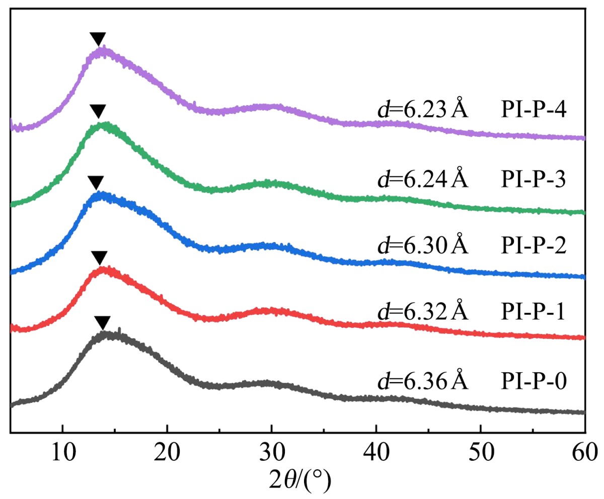
Simulações no Materials Studio demonstram que o APAB reduz a mobilidade da cadeia molecular (diminuição do coeficiente de difusão), enquanto o XRD confirma o espaçamento reduzido entre as cadeias moleculares e o empacotamento mais apertado. Isso explica a resistência ao calor aprimorada e a estabilidade dielétrica da película de tinta.

(a)Curva MSD

(b)Resultados XRD
Figura 6 Desvio Quadrático Médio de Diferentes Modelos Estruturais de PI e Resultados XRD
Conclusão
Este estudo resolveu com sucesso o desafio da alta viscosidade da tinta isolante de PI através de uma estratégia de intermediário "latente", enquanto alcançou uma otimização sinérgica das propriedades térmicas, mecânicas e elétricas na película de tinta. A formulação ótima PI-P-1 (10% de conteúdo de APAB) demonstrou desempenho abrangente excepcional: Tg> 420°C, resistência à tração de 147,3 MPa, constante dielétrica <3,48 e excelente processabilidade. Esta conquista fornece uma nova opção de material para o sistema de isolamento de motores de veículos elétricos, com potencial para impulsionar o desenvolvimento de motores de alto desempenho.
Trabalhos futuros poderão otimizar ainda mais as proporções de monômeros e explorar processos de produção em escala industrial para facilitar atualizações tecnológicas em materiais isolantes.
A GaoMi HongXiang Electromechanical Technology Co., Ltd. é uma empresa privada especializada em serviços para clientes globais. A empresa oferece três linhas principais de produtos: fabricação de conjuntos de transformadores de potência, placas de papel isolante elétrico, madeira laminada isolante e processamento de componentes isolantes, apoiados por maquinário especializado com tecnologia de IA. Como provedora abrangente, integra design de P&D, produção, vendas, instalação, treinamento e serviços pós-venda. Seus produtos são amplamente vendidos no mercado interno e exportados para o Sudeste Asiático, América do Sul, Índia, Paquistão, Rússia e outras regiões.

NAVEGAÇÃO
MENSAGEM
Request A Quote?